Introduction from Drug peptide supply about Cetrorelix acetate/120287-85-6

| English name | Cetrorelix |
| Chinese name | 西曲瑞克 |
| CAS NO | 120287-85-6/145672-81-7/130143-01-0 |
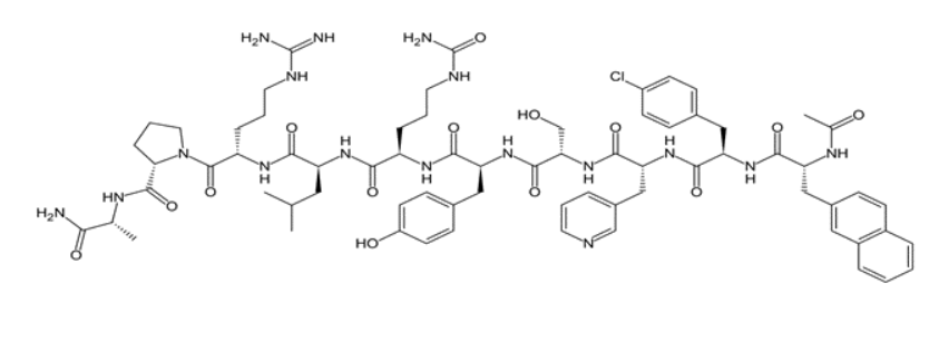
| Peptide sequence | Ac-D2Nal-D4Cpa-D3Pal-Ser-Tyr-DCit-Leu-Arg-Pro-DAla-NH2 |
| Molecular formula | C70H92N17O14 |
| Molecular weight | 1551.16 |
| storage temperature | 2-8℃ |
| purity | ≥98% |
| Package | 1mg;5mg;10mg;50mg;100mg,1g or according to customer’s detail requirement. |
| Product English synonyms | Cetrorelix acetate;N-Acetyl-3-(2-naphthalenyl)-D-alanyl-4-chloro-D-phenylalanyl-3-(3-pyridinyl)-D-alanyl-L-seryl-L-tyrosyl-N5-(aminocarbonyl)-D-ornithyl-L-leucyl-L-arginyl-L-prolyl-D-alaninamide diacetate |
What is Cetrorelix acetate?
Cetrorelix acetate is indicated for the prevention of premature ovulation in patients undergoing controlled ovarian stimulation, followed by egg collection and assisted reproductive technology treatment.
In clinical trials, this product was used in combination with human menopausal gonadotropin (HMG). Limited experience with the combined use of r-hFSH with recombinant human follicle-stimulating hormone (r-hFSH) suggests similar efficacy.
How to buy Cetrorelix in the U. S.
Peptide supplier Remetide specializes in the production and sales of peptides in the USA, Professional Drug peptide R&D, Professional drug peptide seller. Feel free to contact us if you have any questions or inquiries about Peptides.
Hot line:+19498788363
Wechat:americhina
Email:amin@remetide.com
